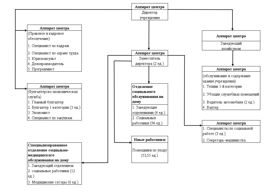
Структурные подразделения:
| Наименование подразделения | Количество,
штук |
Плановое количество обслуживаемых
на 2025 год |
| Отделение социального обслуживания на дому | 4 | 960 |
| Специализированное отделение социально-медицинского обслуживания на дому | 1 | 60 |
Положение об отделении социального обслуживания на дому (ОСО)
Положение об специализированном отделении социально-медицинского обслуживания на дому (СОСМО)
Месторасположение структурных подразделений Центра:
| № отделения | ФИО заведующего | Адрес | Телефон |
| Отделение социального обслуживания на дому № 1 | Чернышева Алла Николаевна | ул. Согласия д. 23 |
8(863) 227-18-38 |
| Отделение социального обслуживания на дому № 2 | Морозова Елена Алексеевна | ул. Согласия д. 23 |
8(863) 227-18-16 |
| Отделение социального обслуживания на дому № 3 | Баканева Елена Анатольевна | ул. Согласия д. 23 |
8(863) 227-18-16 |
| Отделение социального обслуживания на дому № 4 | Устинова Нина Ивановна | ул. Согласия д. 23 |
8(863) 227-18-38 |
| Специализированное отделение социально-медицинского обслуживания на дому | Исматова Анастасия Борисовна | ул. Согласия д. 23 |
8(863) 227-18-16 |

